Embargo Agreement Template

If you are looking for Embargo Agreement Template you have come to the right place. We have many more template about Embargo Agreement Template including template, printable, photos, wallpapers, and more. In these page, we also have variety of images available. Such as pdf, jpg, animated gifs, pic art, logo, black and white, transparent, etc.

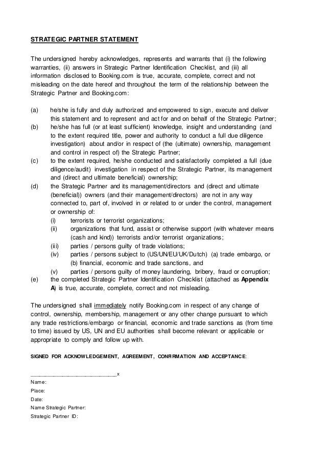
Statement And Strategic Partner Identification Checklist

3 3 Intellectual Property Embargoes And Protections Data

App Terms And Conditions Template Termly

Making The Embargo Work In The Era Of Real Time

New Template Institutional Archiving Agreement Launched

46 Press Release Format Templates Examples Samples ᐅ

Media Release Form Template 8 Free Sample Example

Sample One Time Sale Of Goods Agreement Template For Mn

Sales Contract Template Get Free Sample

Thesis Dissertation Copyright And Embargo Agreement

Application Contract Form For Exposition Space Jd Events

General Service Agreement Sample Free Download

Joint Venture Agreement Free Download

Nwea Ea Map Growth Model Results Webinar

Sample Sales Contract 9 Documents In Pdf Word


0 Response to "Embargo Agreement Template"

Post a Comment